颜料专家:塑料着色制品颜色变化机理探讨
分类:技术文档 来源: 发布时间:2022-03-31
摘 要 本文就塑料制品颜色发生变化的原因、机理进行了探讨,并就其相应解决办法提出粗浅看法,以供参考
关键词 塑料着色 色变 反应 机理
0前 言
利用干粉或色母粒等方法着色塑料制品时,可能出现颜色变化现象,从而影响产品质量。变色可能由下述方面原因引起:(1)高温成型时,基体树脂的氧化降解引起;(2)由于塑料制品的某些组分,如基体与助剂,或基体与着色颜料,亦或助剂与颜料间发生化学反应所致;(3)由于着色颜料或助剂等不耐高温所引起,等等。我们通过剖析这些因素引起色变之机理,为诸多塑料制品厂家提供参考,以便正确选择原材料,从而生产出合格的塑料制品。
1 塑料成型加工所引起的颜色变化
1.1高温成型时,基体树脂氧化降解变色
当塑料成型加工设备之加热圈或加热板因失控而一直处于加热状态时,容易导致局部温度过高,使得树脂在高温下发生氧化分解,对于那些热敏性塑料,如PVC等,在成型加工时更易出现这种现象,严重时,将烧焦变黄,甚至变黑,并伴随大量低分子挥发物逸出。
这种降解包括解聚、无规断链、侧基和低分子物的脱除等反应。
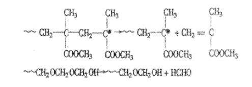
1.1.1解聚
解聚反应系先在大分子未端断裂,,然后按连锁机理迅速脱除单体,在聚合上限温度以上尤其容易进行。现以聚甲基丙烯酸甲酯与聚甲醛的解聚反应为例,其自由基脱除单体的反应如下:
1.1.2 无规断链(降解)
对于诸如PE等聚合物在高温成型时,其主链任何位置都可能断裂,分子量迅速下降,但单体收率很少,这类反应称作无规断链,有时也称作降解,聚乙烯断链后形成的自由基活性很高,四周又有较多的二级氢,易发生链转移反应,几乎无单体产生,其基理如下:
不少聚合物热解时同时伴有降解和解聚反应,聚苯乙烯(PS)就是例子。
不少聚合物热解时同时伴有降解和解聚反应,聚苯乙烯(PS)就是例子。
1.1.3 取代基的脱除
聚氯乙烯、聚醋酸乙烯酯、聚丙烯腈、聚氟乙烯等受热时,取代基将脱除。以聚氯乙烯(PVC)为例,PVC在180~200℃以下温度加工成型,但在较低的温度(如100~120℃)下,即开始脱氢(HCl),200℃左右失去HCl很快,而使聚合物变成深色,强度变低,总反应简示如下:
﹏CH2CHCIH2CHCl~~→~~CH=CHCH=CH~~+2HCl
游离HCl对脱氯化氢有催化作用,金属氯化物,如氯化氢与加工设备作用形成的氯化铁,促进催化。
3HCl+Fe→FeCl3+3HCl
PVC在热加工时须加百分之几的酸吸收剂,如硬脂酸钡、有机锡、铅化合物等,以提高其稳定性。以硬脂酸钡为例,反应式如下:
利用通迅电缆着色市话通迅电缆线时,铜导线上聚烯烃层如稳定得不好,聚合物—铜的界面上就会形成绿色的羧酸铜。这些反应促使铜扩散入聚合物中,加速了铜的催化氧化。
因此,为了降低聚烯烃的氧化降解速率,常加入酚类或芳胺类抗氧剂(AH),终止上述反应,形成不活泼的自由基A· :
ROO·+AH-→ROOH+A·
1.1.4 氧化降解
聚合物在加工和使用时都要接触空气中的氧气,在受热时,加速氧化降解。
聚烯烃的热氧化属于自由基连锁反应机理,有自动催化行为,可分为引发、增长、终止三步反应:
氢过氧化基团引起的链的断裂导致分子量降低,其均裂的主产物为醇、醛、酮,最后氧化成羧酸。羧酸对金属催化氧化起着主要作用。
1.2 塑料成型加工时,着色剂因不耐高温而发生分解褪色变色
用于塑料着色的颜料或染料均存在耐温极限,达到这一极限温度,颜料或染料将发生化学变化,生成各种较低分子量化合物,其反应式均较复杂;不同的颜料存在不同的反应及产物,通过失重等分析方法可以检测不同颜料的耐温性,一般地:
举 例 | 好 ←- 耐热性-→ 差 | 举 例 | |
黑色 | 深色 | 浅色 | 橙、粉红色 |
永固紫 | 单一色 | 拼色 | 黄、红拼成的紫色 |
镉红、镉黄、钛黄、钴蓝、钴绿 | 无机颜料 | 有机颜料、染料 | 色淀红、偶氮黄、透明红 |
喹吖啶酮红 | 大分子颜料 | 小分子颜料 | 色淀颜料偶氮2B红 |
注塑、吹塑 | 短时间受热 | 长时间受热 | 板材挤出 |
吹膜 | 低温 | 高温 | 涂覆 |
部分着色颜料的耐热性参见表1
表1 不同颜料的耐热性能
结构类型 | 颜料变色温度(℃) | ||||||||
125 | 150 | 175 | 200 | 225 | 250 | 275 | 300 | 325 | |
酞菁绿 酞菁绿B 士林蓝 喹吖啶酮紫 永固紫RL 洋红6B 洋红2B 士林黄4GF 坚牢黄 |
B |
C |
A |
B |
A C |
A B |
C C |
A A A | A A B B B |
表中A—30min.变色,B-10min.变色,C-10 min.以内变色
部分国产颜料的热失重参见表2
表2 国产颜料的耐热性*
颜料名称和索引号(C.I.Pigment) | 重量损失(%) | ||||
150℃ | 200℃ | 250℃ | 300℃ | ||
联苯胺黄G P.Y.12 联苯胺黄GG P. Y.17 联苯胺黄HR P.Y.83 大分子黄2GL 耐晒艳红BBC P.R.48:2 耐晒大红BBN P.R.48:1 金光红C P.R.53:1 大分子红R 永固紫RL P.V.23 酞菁蓝B P.B.15 酞菁绿G P.G.7 | 0 0 0.7 0 5.5 2.1 0.35 0 0 0 0 | 0 4 6.3 0 7 3.8 1.5 0 0 0 0 | 0.12 6.2 14 0 8.2 10.2 5.4 0 0.7 0.1 0 | 15 7.7 18.2 1.3 11.4 18.1 8.9 0 1.1 3 0 | |
因此,我们在选用色母粒或着色颜料时必须根据塑料制品成型加工时的要求选用相应档次的既耐热又经济适用的着色剂。
2 着色剂与树脂反应所引起的颜色变化
着色剂与树脂的反应主要表现在某些颜料或染料与树脂在加工成型时发生的,这些化学反应将导致色相的变化,并使聚合物发生降解,从而使制品性能发生变化。
2.1 还原反应
某些高聚物,如尼龙和氨基塑料在熔融状态下,是很强的酸性还原剂,它们能使在加工温度下很稳定的颜料或染料被还原褪色,以颜料C.I.Pigment.Y.1为例:
2.2 碱交换作用
聚氯乙烯乳液聚合物或某些稳定化了的聚丙烯中的碱土金属,能与着色剂中的碱土金属发生“碱交换作用”,从而使颜色从蓝红色变成橙色。PVC乳液聚合物是VC在乳化剂(如十二烷基磺酸钠C12H25SO3Na )水溶液中借助搅拌聚合的方法,反应中含有Na+;为提高PP的耐热氧性能,常加有1010、DLTDP等抗氧剂,抗氧剂1010是由3,5一二叔丁基一4一羟基丙酸甲酯与季戊四醇酸钠催化下进行酯交换反应,而DLTDP是由Na2S水溶液与丙烯腈反应制备硫代二丙腈,经水解生成硫代二丙酸,最后用月桂醇酯化而得,反应中亦均含有Na+。在塑料制品成型加工时,树脂中残余的Na+ 将与含有金属离子的色淀颜料如C.I.Pigment·Red 48:2(BBC或2BP)发生反应:
2.3 颜料与卤化氢(HX)间的反应
PVC在温度升至170℃或受光作用下脱去HCI而形成共轭双键:
含卤阻燃性聚烯烃或有色阻燃塑料制品在高温成型亦脱卤化氢HX:

2.3.4 金属离子对聚合物的破坏作用
某些颜料对聚合物有破坏作用,如锰色淀颜料C.I.Pigment Red48:4不适合PP塑料制品成型,原因在于变价金属锰离子在PP的热氧化或光氧化中,通过电子的转移催化氢过氧化物的分解导致PP的加速老化;聚碳酸酯中的酯键,加热时易水解和遇碱分解,一旦颜料中存在金属离子更容易促进分解;金属离子也会促使PVC等树脂的热氧分解,并导致颜色变化(参见“2.3.2”与“1.1.4”所述):
纵上所述,生产塑料制品时,我们应避免使用与树脂发生反应的着色颜料是最可行且有效的办法。
3 着色剂与助剂间的反应3.1 含硫颜料与助剂间的反应
含硫颜料,如镉黄(CdS和CdSe的固溶体),由于耐酸性较差,不宜用于PVC,也不应和含铅的助剂一起使用。
3.1.1 含硫颜料与含铅或锡的稳定剂反应(主要为PVC制品):
3.1.2 含硫颜料与含镍稳定剂的PP膜或纤维反应,使聚合物熔体严重褪光或变成暗黑色,例如,与有机镍光稳定剂类:
3.2含铅化合物与含硫稳定剂反应
铬黄颜料或钼铬红中铅成分与抗氧剂如硫代二硬脂酸酯DSTDP反应
3.3 颜料与抗氧剂间的反应
加有抗氧剂的树脂,如PP,除前述“3.2”之外,某些颜料与抗氧剂亦会发生反应,因而减弱了抗氧剂的功能,使树脂的热氧稳定性变劣。例如,酚类抗氧剂易被炭黑吸收或与其反应而失去活性;白色或浅色塑料制品中酚类抗氧剂与钛离子形成酚状芳烃络合物使制品发生黄变现象,我们通过选择合适抗氧剂或添加辅助添加剂,如抗酸锌盐(硬脂酸锌)或P2型亚磷酸酯防止白色颜料(TiO2)色变。
颜料对有加抗氧剂(酚类)PP的影响大小参见表3。
表3 颜料(0.5%)对加有酚类抗氧剂PP的热氧化影响
3.4 颜料与光稳定剂间的反应
颜料和光稳定剂发生作用,除前面已述含硫颜料与含镍光稳定剂发生反应外,一般都会降低光稳定剂的效用,尤其受阻胺光稳定剂和偶氮黄、红颜料作用,其光稳定下降效果更为明显,还不如未着色稳定,此现象目前尚无确切的解释。
表4 颜料对光稳定剂的影响(0.3%光稳定剂,0.4%颜料)
注: 表中数目为:强度下降50%时千兰利数,1兰利=4.1868J/min.
4 助剂间的反应
许多助剂如使用不当,将有可能发生意想不到的反应而使制品发生色变。如阻燃剂Sb2O3与含硫抗反应生成
Sb2S3:
Sb2O3+–S–→ Sb2S3+–O–
因此,在考虑生产配方时,必须谨慎选择助剂。
5 助剂自动氧化导致的色变
酚类稳定剂的自动氧化,是促进白色或浅色制品色变的重要因素,这种色变在国外常称为“Pinking”(泛红),它是由诸如BHT抗氧剂(2-6-二叔丁基-4-甲基苯酚)氧化产物偶合,并形如3,3′,5,5′一均二苯乙烯醌淡红色反应产物,这种变色仅在有氧和水以及无光的情况下发生,曝置在紫外光下,淡红的均二苯乙烯醌迅速分解成黄色的单环产物。
6 着色颜料在光热作用下互变异构引起色变
部分着色颜料在光热作用下,分子构型互变异构,如使用C.I.Pig.R2(BBC)颜料由偶氮型互变为醌型,改变了原共轭效变,引起共轭键的减少,导致颜色从深色的兰光红变成浅色的桔红色;同时,在光的催化作用下,与水发生分解,使共结晶水发生变化而引起褪色。
大气污染物引起的色变
塑料制品存放或使用时,一些反应性基团,不管是树脂还是助剂,亦或着色颜料,在光、热作用下,将与大气中的水分或化学污染物一酸、碱等发生作用,引起各种复杂的化学反应,久而久之,将导致褪色或变色,通过加入合适的热氧稳定剂、光稳定剂,或选用优质耐候助剂与颜料可以避免或缓和这种情况的发生。
8 结 论
(1) 高温成型时,基体树脂氧化降解可能引起色变;
(2) 着色剂高温下褪色会引起塑料制品变色;
(3) 着色剂与基体树脂或助剂发生化学反应将导致色变;
(4) 助剂间的反应及助剂自动氧化将引起颜色变化;
(5) 着色颜料在光热作用下互变异构会引起制品颜色变化;
(6) 大气污染物将可能引起塑料制品发生变化。
参考文献
吴立峰主编,《塑料着色和色母粒实用手册》
-
2025-05-28
浅述无机颜料在油墨中的重要性
在油墨生产与应用领域,无机颜料作为核心组成部分,其性能优劣直接决定了油墨的质量与适用性。不同的印刷工艺和使用场景,对油墨用无机颜料提出了多样化的要求,这些特性涵盖色彩表现、物理性能、化学稳定性等多个关键方面。一、卓越的色彩性能色彩鲜艳度和着色力是衡量无机颜料品质的重要指标。高着色力的无机颜料,能够以较少的用量赋予油墨浓...
查看详情
-
2025-05-28
无机颜料在使用中为什么会变色
无机颜料凭借优异的耐光、耐热和化学稳定性,在涂料、塑料、油墨等领域被广泛应用。但不少人在使用过程中发现,无机颜料有时会出现变色现象,这不仅影响产品的外观质量,还可能对其性能产生一定影响。那么,究竟是什么原因导致无机颜料在使用中变色呢?一、颜料自身化学性质引发的变色化学成分间的反应无机颜料的颜色由其化学成分决定,然而部分...
查看详情
-
2025-04-11
无机颜料为什么不溶于水
无机颜料难以溶于水,主要与其化学组成、分子结构及物理性质密切相关,具体原因可从以下几个方面分析: 一、化学键与晶体结构的稳定性 强化学键作用 无机颜料如钴蓝、铜铬黑多为金属氧化物或金属氧化物混相颜料、金属硫化物、金属盐等,其内部原子通过离子键或共价键紧密结合,键能极高...
查看详情


回到顶部